Image Details

Choose export citation format:

AutoWISP: Automated Processing of Wide-field Color Images

  • Authors: Angel E. Romero, Kaloyan Penev, S. Javad Jafarzadeh, Zoltan Csubry, Joel D. Hartman, Gáspár 'A. Bakos

Angel E. Romero et al 2025 The Astronomical Journal 170 .

  • Provider: AAS Journals

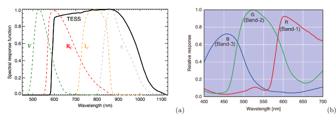
Caption: Figure 4.

The different bandpasses used by (a) TESS (image credit: G. R. Ricker et al. 2015) and (b) the Sony-α 7R II (ILCE-7RM2) DSLR camera (image credit: K. Sato et al. 2016) (a). Here, we show the “TESS spectral response function (black line), defined as the product of the long-pass filter transmission curve and the detector quantum efficiency curve. Also plotted, for comparison, are the Johnson-Cousins V, RC, and IC filter curves and the Sloan Digital Sky Survey z filter curve. Each of the functions has been scaled to have a maximum value of unity” (G. R. Ricker et al. 2015). (b) The Sony-α 7R II uses an Exmor R CMOS sensor, and here its spectral response function for each image band is shown, where each function has been scaled to a maximum value of unity as well.

Other Images in This Article

Show More

Copyright and Terms & Conditions

Additional terms of reuse