Image Details

Choose export citation format:

Occurrence Rates of Accreting Companions from a New Method for Computing Emission-line Survey Sensitivity: Application to the Hα Giant Accreting Protoplanet Survey

  • Authors: Cailin Plunkett, Katherine B. Follette, Gabriel-Dominique Marleau, Eric L. Nielsen

Cailin Plunkett et al 2025 The Astronomical Journal 169 .

  • Provider: AAS Journals

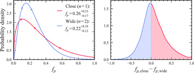
Caption: Figure 6.

Left: posteriors on the occurrence rate of close (<200 mas, pink) vs. wide (≥200 mas, blue) companions, assuming the stellar accretion scaling. As in Figure 5, the legend provides the median and 16th and 84th percentiles, also marked by filled circles on the posteriors. Here, we consider the three confirmed companions, one of which is “close” (HD 142527 B) and two of which are “wide” (PDS 70 c and HD 100453 B). Right: posterior on the difference in planet occurrence rate at close vs. wide separations, fp,close − fp,wide; positive values (shaded in pink) indicate close companions are more common.

Other Images in This Article
Copyright and Terms & Conditions

Additional terms of reuse