Image Details

Choose export citation format:

Clouds in Partial Atmospheres of Lava Planets and Where to Find Them

  • Authors: T. Giang Nguyen, Nicolas B. Cowan, Lisa Dang

T. Giang Nguyen et al 2024 The Astronomical Journal 168 .

  • Provider: AAS Journals

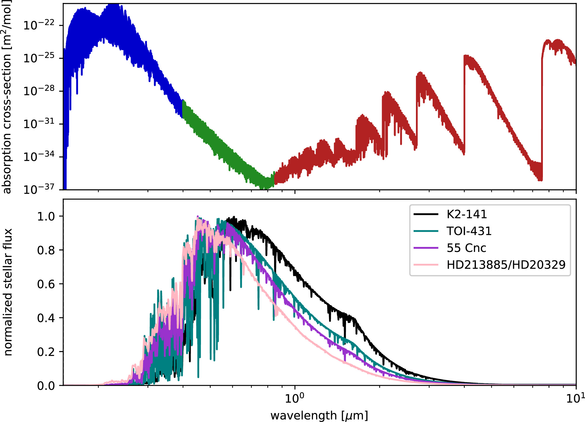
Caption: Figure 1.

Top: the absorption cross section of SiO (S. N. Yurchenko et al. 2022). The blue, green, and red show the UV, visible, and IR ranges. Bottom: the normalized flux of each star using close analogs.

Other Images in This Article
Copyright and Terms & Conditions

Additional terms of reuse