Image Details

Choose export citation format:

Is There an Earth-like Planet in the Distant Kuiper Belt?

  • Authors: Patryk Sofia Lykawka, Takashi Ito, 孝士 伊藤

Patryk Sofia Lykawka et al 2023 The Astronomical Journal 166 .

  • Provider: AAS Journals

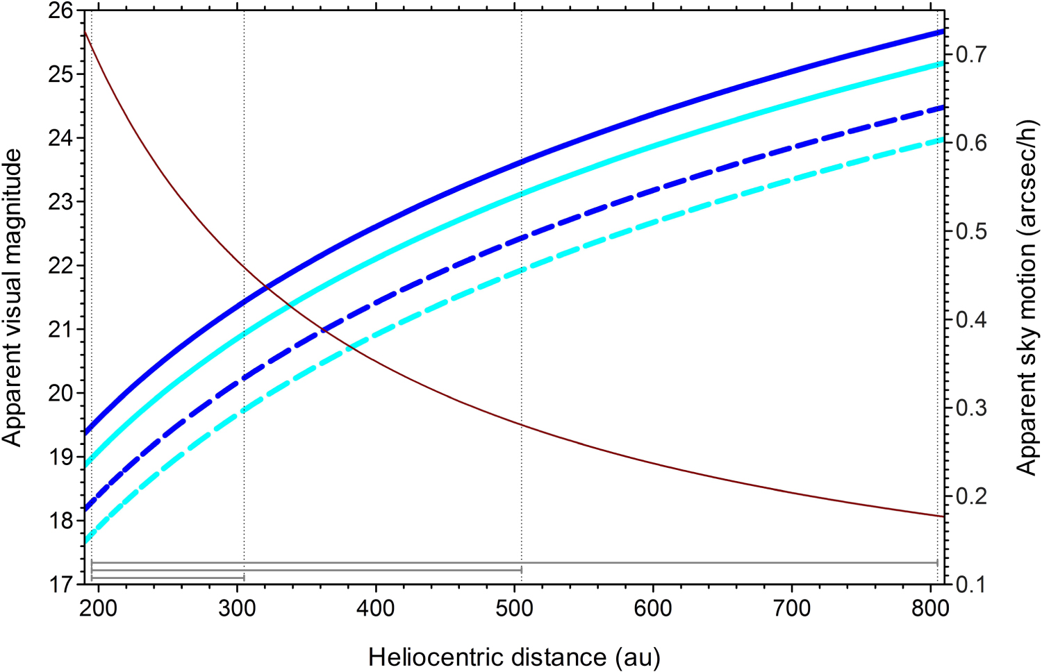
Caption: Figure 10.

Observational constraints on the existence of a KBP based on our best models. The apparent visual magnitudes were estimated for a KBP with m = 1.5 M (blue curves) and m = 3 M (cyan curves). The results are shown for an assumed albedo of 0.1 (straight curves) and 0.3 (dashed curves). In all cases, a mean density of 2 g cm−3 was assumed for the KBP (assuming that 3 g cm−3 leads to ∼0.°3 darker magnitudes). The variation in heliocentric distance is also indicated by gray bars at the bottom for three hypothetical orbits with q P = 195 au and a P = 250, 350, and 500 au. Finally, the apparent sky motion is indicated by the brown curve. See Section 3. for details.

Other Images in This Article
Copyright and Terms & Conditions

Additional terms of reuse