Image Details

Choose export citation format:

Interstellar Polarization Survey. II. General Interstellar Medium

  • Authors: M. J. F. Versteeg, A. M. Magalhães, M. Haverkorn, Y. Angarita, C. V. Rodrigues, R. Santos-Lima, Koji S. Kawabata

M. J. F. Versteeg et al 2023 The Astronomical Journal 165 .

  • Provider: AAS Journals

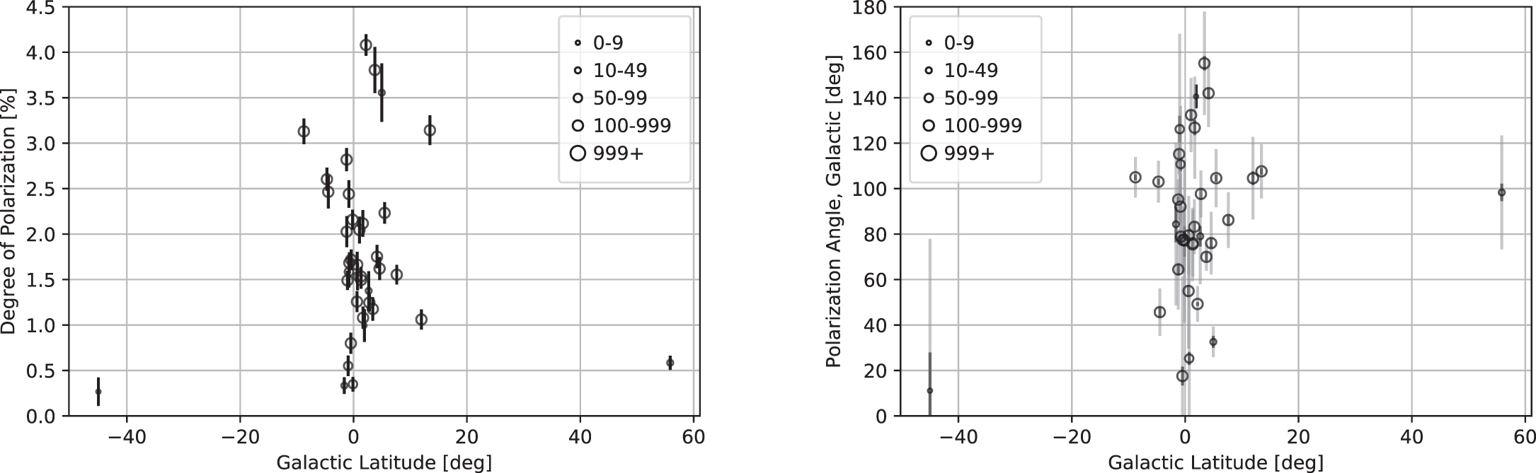
Caption: Figure 10.

Average polarimetric measurements per field as a function of Galactic latitude. Marker sizes scale with the number of stars in that field. Left: weighted average degrees of polarization P in percentage per field. Error bars represent the weighted error. Right: average polarization angles θ in degrees per field. Gray error bars denote the standard deviation of the distribution within each field. Black error bars represent the average measurement error within each field.

Other Images in This Article

Show More

Copyright and Terms & Conditions

Additional terms of reuse