Image Details

Choose export citation format:

OGLE-2018-BLG-1700L: Microlensing Planet in Binary Stellar System

  • Authors: Cheongho Han, Chung-Uk Lee, Andrzej Udalski, Andrew Gould, Ian A. Bond, Michael D. Albrow, Sun-Ju Chung, Kyu-Ha Hwang, Youn Kil Jung, Yoon-Hyun Ryu, In-Gu Shin, Yossi Shvartzvald, Jennifer C. Yee, Weicheng Zang, Sang-Mok Cha, Dong-Jin Kim, Hyoun-Woo Kim, Seung-Lee Kim, Dong-Joo Lee, Yongseok Lee, Byeong-Gon Park, Richard W. Pogge, M. James Jee, Doeon Kim, Przemek Mróz, Michał K. Szymański, Jan Skowron, Radek Poleski, Igor Soszyński, Paweł Pietrukowicz, Szymon Kozłowski, Krzysztof Ulaczyk, Krzysztof A. Rybicki, Patryk Iwanek, Marcin Wrona, Fumio Abe, Richard Barry, David P. Bennett, Aparna Bhattacharya, Martin Donachie, Hirosane Fujii, Akihiko Fukui, Yoshitaka Itow, Yuki Hirao, Yuhei Kamei, Iona Kondo, Naoki Koshimoto, Man Cheung Alex Li, Yutaka Matsubara, Yasushi Muraki, Shota Miyazaki, Masayuki Nagakane, Clément Ranc, Nicholas J. Rattenbury, Haruno Suematsu, Denis J. Sullivan, Takahiro Sumi, Daisuke Suzuki, Paul J. Tristram, Takeharu Yamakawa, and Atsunori Yonehara

2020 The Astronomical Journal 159 48.

  • Provider: AAS Journals

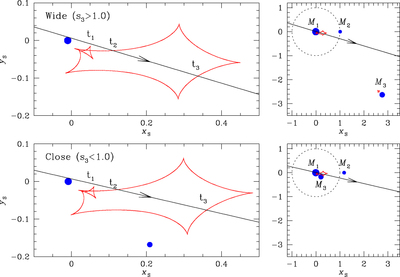
Caption: Figure 4.

Lens system configurations of the 3L1S solutions. The upper and lower panels are for the wide (s3 > 1.0) and close (s3 < 1.0) solutions, respectively. For each solution, the left panel shows the central magnification region, while the right panel shows the whole view including the locations of all lens components, marked by M1, M2, and M3. The positions on the source trajectory marked by t1, t2, and t3 represent the source locations at the times of the three peaks in the lensing light curve marked in Figure 1. The dotted circle in each of the right panels represents the Einstein ring.

Other Images in This Article
Copyright and Terms & Conditions