Image Details

Choose export citation format:

Low-frequency Radio Absorption in Tycho’s Supernova Remnant

  • Authors: Maria Arias, Jacco Vink, Ping Zhou, Francesco de Gasperin, Martin J. Hardcastle, and Tim W. Shimwell

2019 The Astronomical Journal 158 253.

  • Provider: AAS Journals

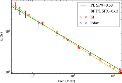
Caption: Figure 3.

Radio spectrum of Tycho, including measurements from this work (in blue). The green line corresponds to the power-law spectral index (PL SPX) of 0.58 reported in Green (2017), and the yellow line is the best-fit (BF) power-law spectral index from these data points. The literature (lit) values in red are taken from: Klein et al. (1979), Green et al. (1975), Hurley-Walker et al. (2009), Katz-Stone et al. (2000), Kothes et al. (2006), Planck Collaboration et al. (2016), Gao et al. (2011), Langston et al. (2000), Williams et al. (1966), Scott & Shakeshaft (1971), Artyukh et al. (1969), Bennett (1963), Fanti et al. (1974), Conway et al. (1965), Kellermann et al. (1969), and Horton et al. (1969).

Other Images in This Article
Copyright and Terms & Conditions