Image Details

Choose export citation format:

The Discus Comet: C/2014 B1 (Schwartz)

  • Authors: David Jewitt, Yoonyoung Kim, Jane Luu, and Ariel Graykowski

2019 The Astronomical Journal 157 103.

  • Provider: AAS Journals

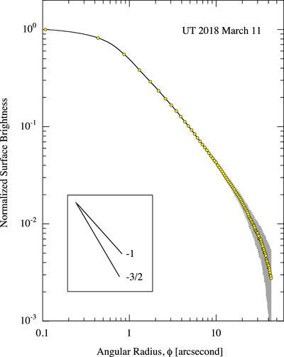
Caption: Figure 7.

Surface brightness profile of C/2014 B1 on UT 2018 March 11. The uncertainty, dominated by uncertainty in the sky background subtraction, is indicated by the gray shaded region.

Other Images in This Article
Copyright and Terms & Conditions