Image Details

Choose export citation format:

Subarray Processing for Projection-based RFI Mitigation in Radio Astronomical Interferometers

  • Authors: Mitchell C. Burnett, Brian D. Jeffs, Richard A. Black, and Karl F. Warnick

2018 The Astronomical Journal 155 146.

  • Provider: AAS Journals

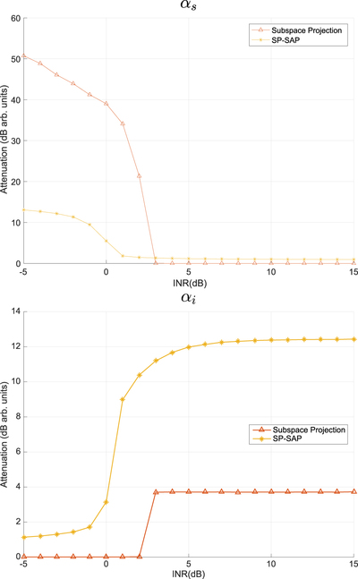
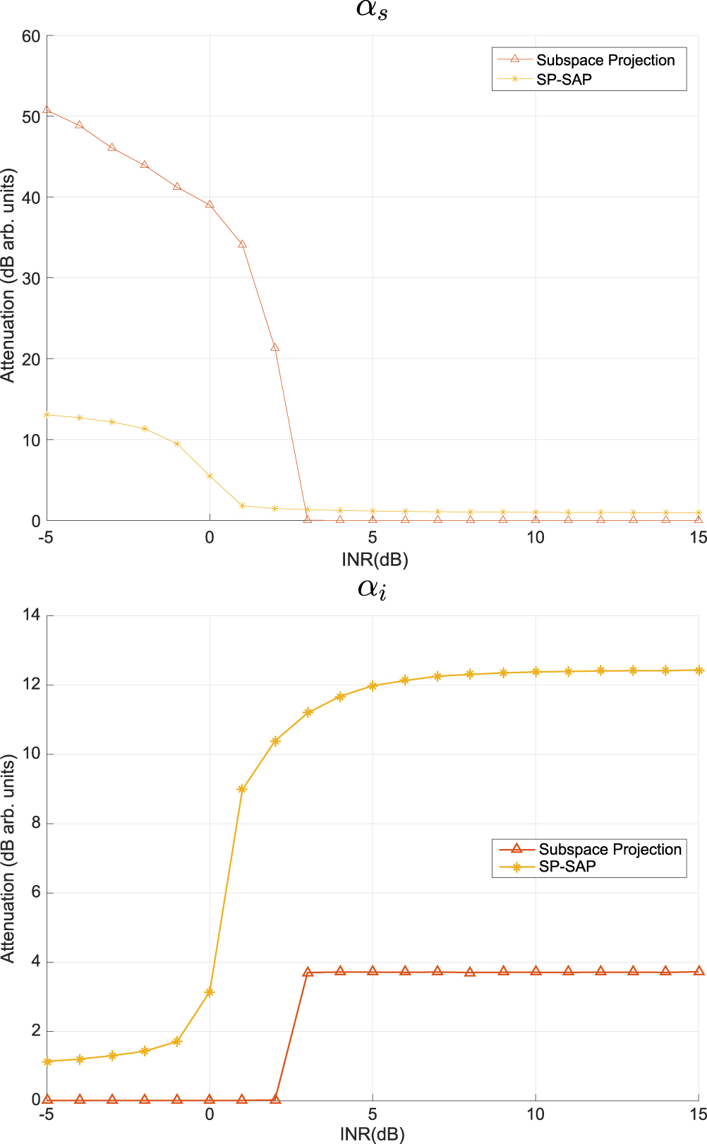
Caption: Figure 7.

Post-mitigation attenuation to the SOI (top) and RFI (bottom). Subspace projection achieves a modest level of attenuation to the RFI while SP-SAP increases the overall mitigation by 9 dB. SP-SAP does introduce a slight 1 dB of attenuation to the SOI; however, bias corrections can be applied on a per subarray basis to restore the SOI.

Other Images in This Article
Copyright and Terms & Conditions