Image Details

Choose export citation format:

How Dry is the Brown Dwarf Desert? Quantifying the Relative Number of Planets, Brown Dwarfs, and Stellar Companions around Nearby Sun‐like Stars

  • Authors: Daniel Grether and Charles H. Lineweaver

Grether & Lineweaver 2006 The Astrophysical Journal 640 1051.

  • Provider: AAS Journals

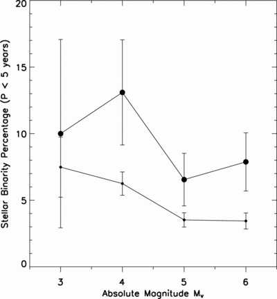
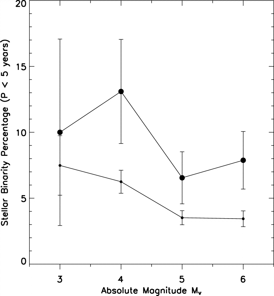
Caption: Fig. 3.

Fraction of stars that are known to be close (﹩P< 5﹩ yr) Doppler binaries as a function of absolute magnitude. For the 25 pc Sun‐like sample (large dots), ~11% of stars are binaries; within the error bars, brighter stars do not appear to be significantly overrepresented. If we include the extra stars to make the 50 pc Sun‐like sample (small dots), the stellar binary fraction is lower and decreases as the systems get fainter.

Other Images in This Article

Show More

Copyright and Terms & Conditions