Image Details

Choose export citation format:

The Growth of H II Regions During Reionization

  • Authors: Steven R. Furlanetto, Matias Zaldarriaga, and Lars Hernquist

Furlanetto, Zaldarriaga, & Hernquist 2004 The Astrophysical Journal 613 1.

  • Provider: AAS Journals

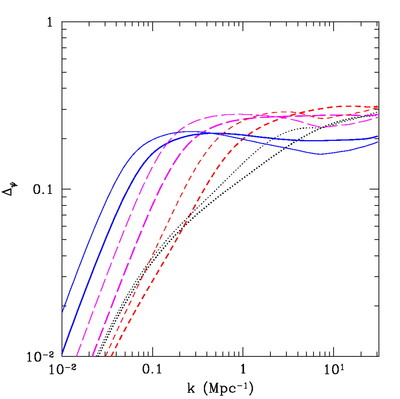
Caption: Fig. 10.

Redshift evolution of Δψ in the ﹩\zeta =500﹩ (thin lines) and ﹩\zeta =90﹩ (thick lines) models. In the latter case, we decrease mmin by an order of magnitude from the default model. The curves are for ﹩\overline{x}_{\mathrm{H}\,}=0.96﹩ (dotted), ﹩\overline{x}_{\mathrm{H}\,}=0.8﹩ (short‐dashed), ﹩\overline{x}_{\mathrm{H}\,}=0.5﹩ (long‐dashed), and ﹩\overline{x}_{\mathrm{H}\,}=0.24﹩ (solid). The redshifts in the two models differ slightly.

Other Images in This Article

Show More

Copyright and Terms & Conditions