Image Details

Choose export citation format:

Type Ia Supernova Discoveries at z > 1 from the Hubble Space Telescope: Evidence for Past Deceleration and Constraints on Dark Energy Evolution

  • Authors: Adam G. Riess, Louis-Gregory Strolger, John Tonry, Stefano Casertano, Henry C. Ferguson, Bahram Mobasher, Peter Challis, Alexei V. Filippenko, Saurabh Jha, Weidong Li, Ryan Chornock, Robert P. Kirshner, Bruno Leibundgut, Mark Dickinson, Mario Livio, Mauro Giavalisco, Charles C. Steidel, Txitxo Benítez, and Zlatan Tsvetanov

Riess et al. 2004 The Astrophysical Journal 607 665.

  • Provider: AAS Journals

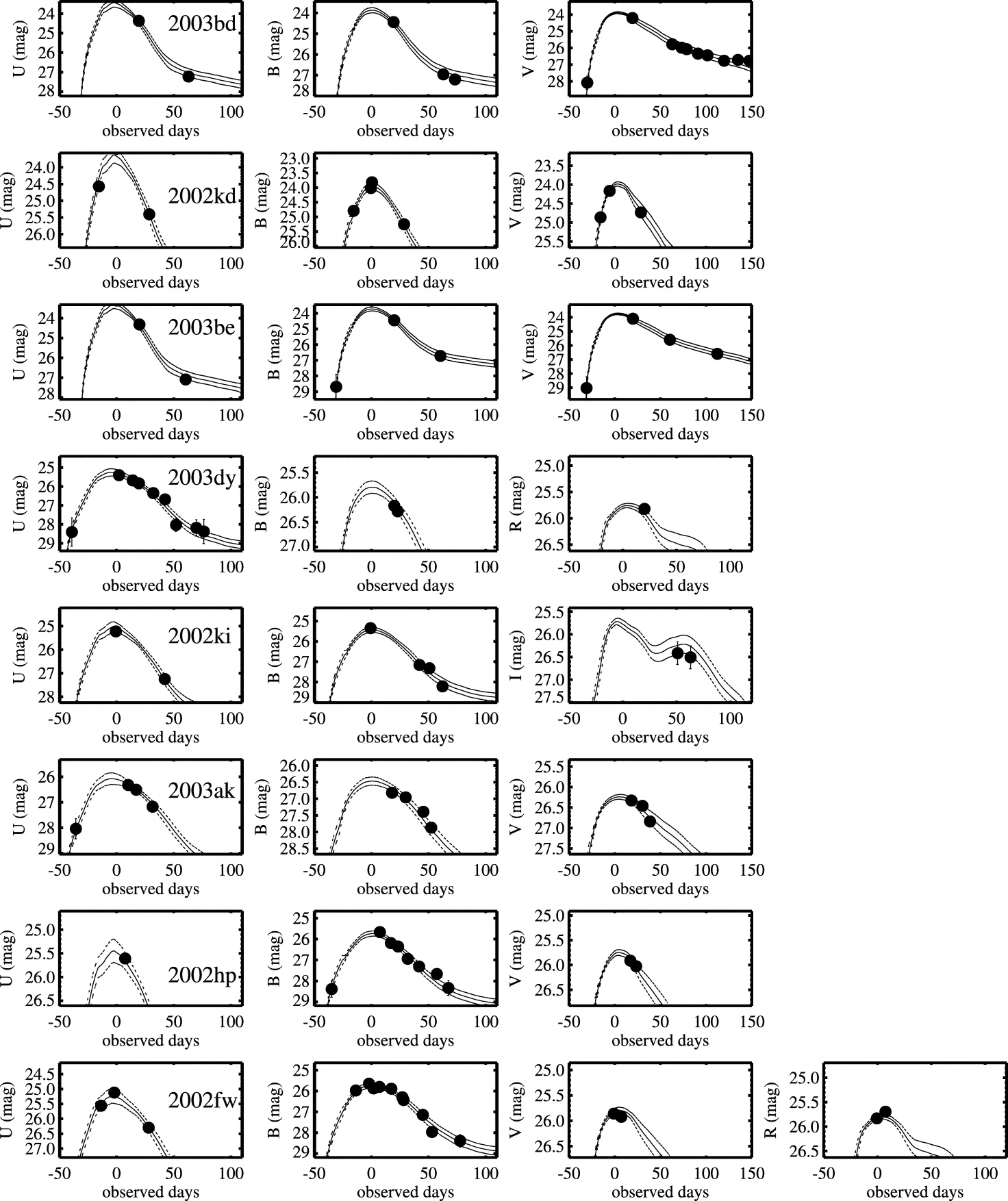
Caption: Fig. 2.

Multicolor light curves of SNe Ia. For each SN Ia, multicolor photometry transferred to rest‐frame passbands is plotted. The individual, best‐fit MLCS2k2 model is shown as a solid line, with a ±1 σ model uncertainty, derived from the model covariance matrix, above and below the best fit.

Other Images in This Article

Show More

Copyright and Terms & Conditions