Image Details

Choose export citation format:

Scattering by Interstellar Dust Grains. I. Optical and Ultraviolet

  • Authors: B. T. Draine

Draine 2003 The Astrophysical Journal 598 1017.

  • Provider: AAS Journals

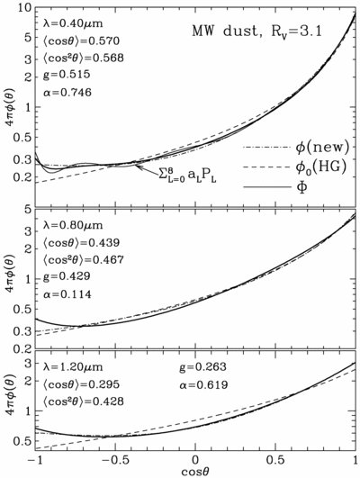
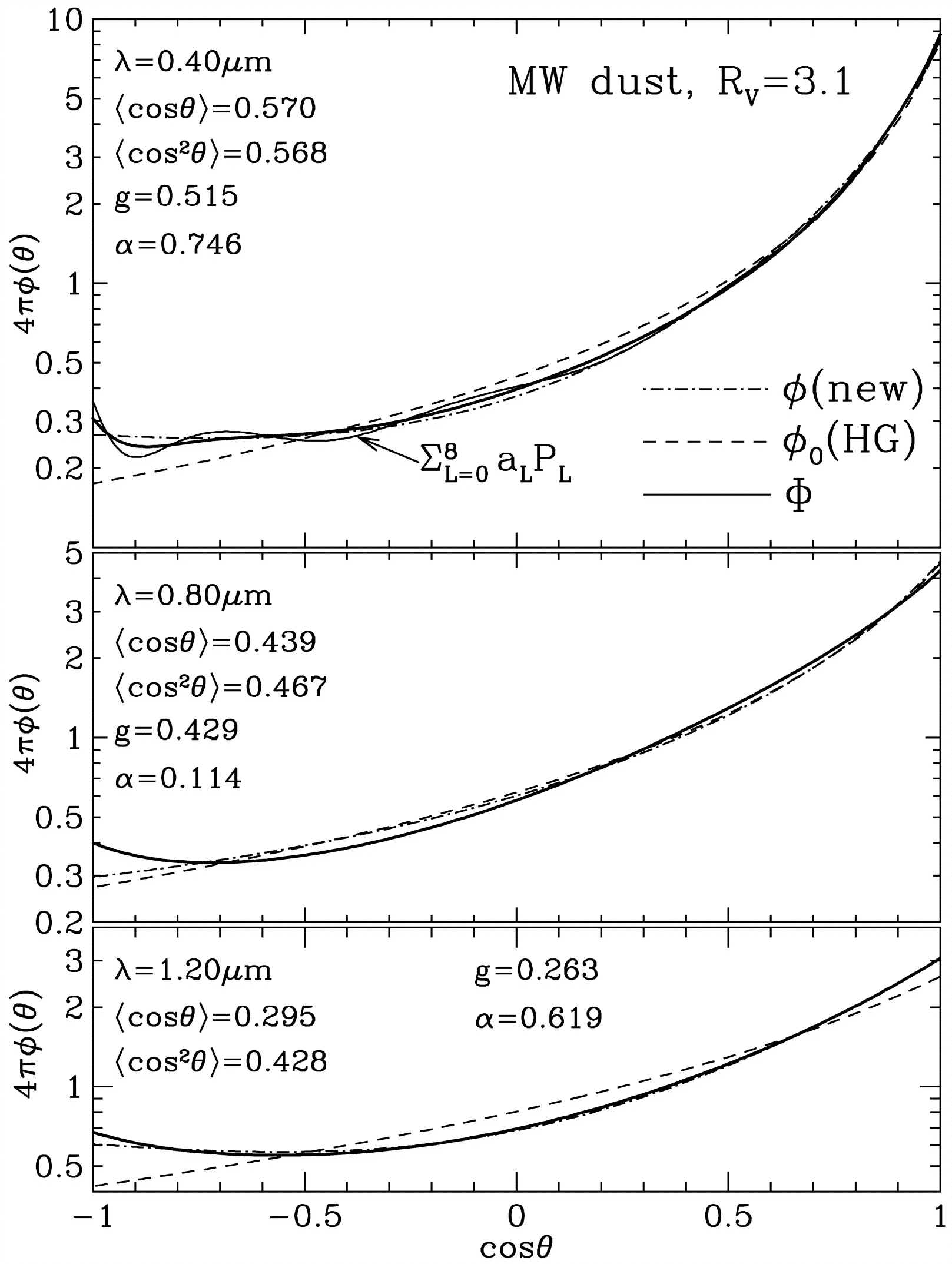
Caption: Fig. 6.

Scattering phase function for the WD01 Milky Way dust model at three wavelengths (solid lines) compared with the Henyey‐Greenstein phase function ﹩\phi _{0}﹩ and our new phase function ﹩\phi _{\alpha \leq 1}﹩. For ﹩\lambda =0.4\ \mu \mathrm{m}\,﹩ a nine‐term Legendre polynomial representation is also shown.

Other Images in This Article
Copyright and Terms & Conditions