Image Details

Choose export citation format:

Acceleration and Enrichment of 3He in Impulsive Solar Flares by Electron Firehose Waves

  • Authors: G. Paesold, R. Kallenbach, and A. O. Benz

Paesold, Kallenbach, & Benz 2003 The Astrophysical Journal 582 495.

  • Provider: AAS Journals

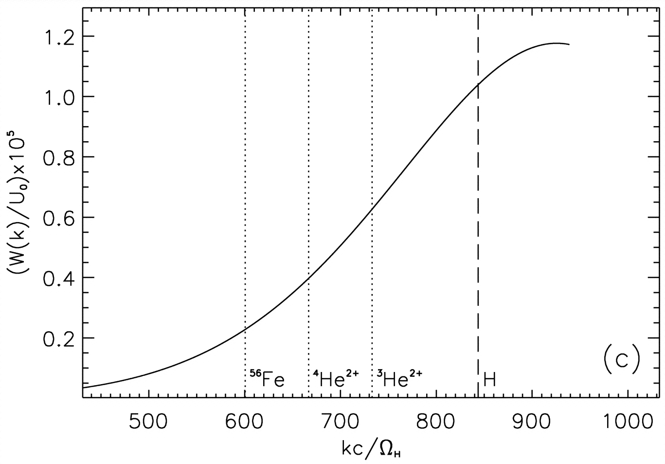
Caption: Fig. 4.

Properties of the wave spectrum assumed for the test particle simulations. (a) Dispersion of the wave field used for the test particle simulation obtained from linearized theory. Each branch (positive and negative k) consists of 1000 monochromatic waves. The dotted lines indicate the resonance frequencies of the corresponding ions. (b) Electric field amplitudes of the wave spectrum at the end of the growth time. The vertical dotted lines refer to the k‐values corresponding to the associated ion gyrofrequencies. (c) Corresponding spectral energy density.

Other Images in This Article

Show More

Copyright and Terms & Conditions