Image Details

Choose export citation format:

Cosmic-Ray Acceleration from Turbulence in Molecular Clouds

  • Authors: Brandt A. L. Gaches, Stefanie Walch, and A. Lazarian

2021 The Astrophysical Journal Letters 917 L39.

  • Provider: AAS Journals

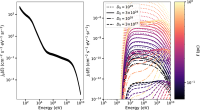
Caption: Figure 2.

Left: steady-state solution for the flux, jp(E) as a function of energy for different values of . Right: transported cosmic-ray flux, jT(E), as a function of energy for different values of D0 and . Note the different scales for the x- and y-axes of each panel. Without including the impact of energy losses and diffusion throughout the cloud, the resulting cosmic-ray flux would produce nonphysically high ionization rates.

Other Images in This Article
Copyright and Terms & Conditions