Image Details
 
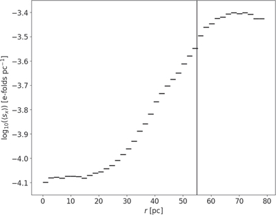
                    Caption: Figure 9.
Value of log10(﹩\left\langle {s}_{x}\right\rangle ﹩) averaged within prolate spheroidal shells of fixed semimajor axis as a function of distance from the center measured along the semiminor axis. The semiminor axis of the orange spheroid in interactive Figure 7 is annotated by the vertical line.
© 2023. The Author(s). Published by the American Astronomical Society.