Image Details

Choose export citation format:

Constraining the Long-lived Magnetar Remnants in Short Gamma-Ray Bursts from Late-time Radio Observations

  • Authors: Liang-Duan Liu, He Gao, and Bing Zhang

2020 The Astrophysical Journal 890 102.

  • Provider: AAS Journals

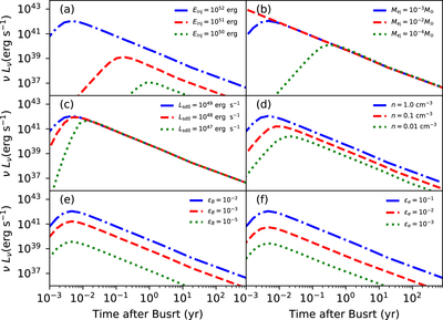
Caption: Figure 2.

Radio lightcurves at 6 GHz by varying various parameters: injected energy from the magnetar Einj (panel (a)), mass of the merger ejecta Mej (panel (b)), initial spin-down luminosity ﹩{L}_{\mathrm{sd},0}﹩ (panel (c)), density of the surrounding medium n (panel (d)), fraction of the post-shock energy density in magnetic field ϵB (panel (e)), and fraction of the post-shock energy density in electron ϵe (panel (f)). The fiducial parameters are (plotted with blue dashed–dotted lines): ﹩{E}_{\mathrm{inj}}={10}^{52}﹩ erg, ﹩{M}_{\mathrm{ej}}={10}^{-3}{M}_{\odot }﹩, ﹩{L}_{\mathrm{sd},0}={10}^{48}﹩ erg s−1, n = 1.0 cm−3, ﹩{\epsilon }_{B}={10}^{-2}﹩, ϵe = 0.1, and p = 2.3.

Other Images in This Article
Copyright and Terms & Conditions