Image Details

Choose export citation format:

Electron-impact Multiple-ionization Cross Sections for Atoms and Ions of Helium through Zinc

  • Authors: M. Hahn, A. Müller, and D. W. Savin

2017 The Astrophysical Journal 850 122.

  • Provider: AAS Journals

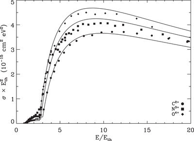
Caption: Figure 3.

Scaled double-ionization cross sections for several Be-like ions: ﹩{{\rm{C}}}^{2+}﹩, ﹩{{\rm{N}}}^{3+}﹩, and ﹩{{\rm{O}}}^{4+}﹩. The symbols show the measurements of Westermann et al. (1999), and the solid curves are the cross sections reported here, which in this case use the semiempirical scheme of Shevelko et al. (2005).

Other Images in This Article

Show More

Copyright and Terms & Conditions