Image Details

Choose export citation format:

Effect of Radiation on Chromospheric Magnetic Reconnection: Reactive and Collisional Multi-fluid Simulations

  • Authors: A. Alvarez Laguna, A. Lani, N. N. Mansour, H. Deconinck, and S. Poedts

2017 The Astrophysical Journal 842 117.

  • Provider: AAS Journals

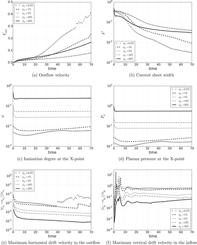
Caption: Figure 12.

Evolution in time of the outflow velocity at ﹩x={L}^{* }﹩, current sheet width ﹩{\delta }^{* }﹩, ionization degree at the X-point, plasma pressure at the X-point, maximum horizontal drift velocity in the outflow, and maximum vertical drift velocity in the inflow of Case D.

Other Images in This Article

Show More

Copyright and Terms & Conditions