Image Details

Choose export citation format:

On the Non-existence of a Sharp Cooling Break in Gamma-Ray Burst Afterglow Spectra

  • Authors: Z. Lucas Uhm and Bing Zhang

Uhm & Zhang 2014 The Astrophysical Journal 780 82.

  • Provider: AAS Journals

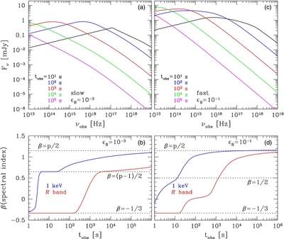
Caption: Figure 1.

Afterglow spectra of the fiducial example at different observation times. A constant pressure profile is adopted for the shocked blast region. Equation (1) is used to calculate the cooling history of electron energies. The curvature effect is also fully taken into account. The following parameters are adopted: L ej(τ) = L 0 = 10 52 erg s −1, τ b = 5 s, E b = 5 × 10 52 erg, n 1 = 1cm −3, Γ ej = 300, z = 1, p = 2.3, and epsilon e = 0.1. Top left: the slow cooling case with epsilon B = 0.001. Bottom left: spectral index β evolution as a function of observer time t obs for the slow cooling case, which shows a very slow transition of ν c crossing. Top right: the fast cooling case with epsilon B = 0.1. Bottom right: β evolution for the fast cooling case.

Other Images in This Article
Copyright and Terms & Conditions