Image Details

Choose export citation format:

An Independent Analysis of Kepler-4b Through Kepler-8b

  • Authors: David Kipping and Gáspár Bakos

Kipping & Bakos 2011 The Astrophysical Journal 730 50.

  • Provider: AAS Journals

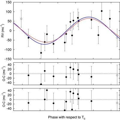
Caption: Figure 24.

Top: RV measurements from Keck for Kepler-8, along with an orbital fit, shown as a function of orbital phase, using our best-fit period. Solid (blue) line shows the circular orbital fit with binned RV model (3 bins, separated by 600 s). The dashed (red) line shows the eccentric orbital fit (with the same bin parameters). Zero phase is defined by the transit midpoint. The center-of-mass velocity has been subtracted. Note that the error bars include the stellar jitter (taken for the circular solution), added in quadrature to the formal errors given by the spectrum reduction pipeline. Middle: phased residuals after subtracting the orbital fit for the circular solution. The rms variation of the residuals is 45.7 m s −1, and the stellar jitter that was added in quadrature to the formal RV errors is 31.5 m s −1. Bottom: phased residuals after subtracting the orbital fit for the eccentric solution. Here the rms variation of the residuals is 42.8 m s −1and the stellar jitter is 27.1 m s −1.

Other Images in This Article

Show More

Copyright and Terms & Conditions