Image Details

Choose export citation format:

The Orthogonal Fitting Procedure for Determination of the Empirical Σ-D Relations for Supernova Remnants: Application to Starburst Galaxy M82

  • Authors: D. Urošević, B. Vukotić, B. Arbutina, and M. Sarevska

UROŠEVIĆ et al. 2010 The Astrophysical Journal 719 950.

  • Provider: AAS Journals

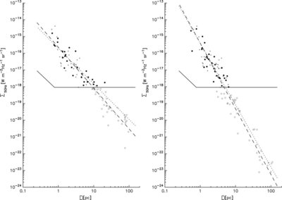
Caption: Figure 3.

Monte Carlo generated sample at 5 GHz for a scatter of 1. M82 data points (31 SNRs, signed by asterisks) are plotted together with the sensitivity (solid) line; artificially generated points are plotted above (filled circles) and below (open circles) this line. Dashed line: fit before selection; dotted line: fit after selection. Left: vertical offsets for a simulated slope of 2.4; right: orthogonal offsets for a simulated slope of 3.9.

Other Images in This Article
Copyright and Terms & Conditions