Image Details

Choose export citation format:

An Analysis of the Shapes of Interstellar Extinction Curves. VI. The Near-IR Extinction Law

  • Authors: E. L. Fitzpatrick and D. Massa

FITZPATRICK & MASSA 2009 The Astrophysical Journal 699 1209.

  • Provider: AAS Journals

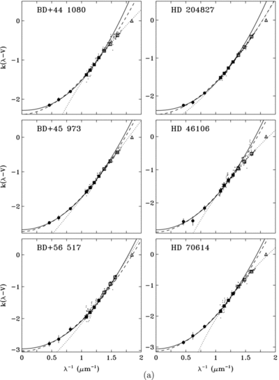
Caption: Figure 3.

(a) NIR extinction curves for six of the 14 program sight lines. The different symbols show the k(λ − V) for the 2MASS JHK photometry (large circles), ACS spectrophotometry (open and filled squares), and Johnson V magnitudes (triangles), as listed in Table 2. The ACS data were binned into a set of seven magnitudes before computing the extinction. The unbinned ASC data are shown as small circles (see Section 3.1). The dashed curves are the fits to the JHK and ACS data using Equation (2) with β ≡ 1.84 ("β-fixed" results in Table 3). The solid curves are fits using Equation (2) with β as a free parameter ("β-variable" results in Table 3). For both sets of fits, only ACS data longward of 7500 Å (λ −1 < 1.33 μm −1) were included (filled squares). Shorter wavelength data (open squares) are not consistent with a single power-law representation. The dotted curves are β-variable fits to the ACS data only. The curves are organized in order of increasing R( V). (b) Six more sight lines. (c) Two highest R( V) sight lines.

Other Images in This Article

Show More

Copyright and Terms & Conditions