Image Details

Choose export citation format:

Low Surface Brightness Galaxies in the Sloan Digital Sky Survey. I. Search Method and Test Sample

  • Authors: Alexei Y. Kniazev, Eva K. Grebel, Simon A. Pustilnik, Alexander G. Pramskij, Tamara F. Kniazeva, Francisco Prada, and Daniel Harbeck

Kniazev et al. 2004 The Astronomical Journal 127 704.

  • Provider: AAS Journals

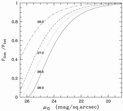
Caption: Fig. 5.

Filter‐independent ratio Fobs/Ftot of the total galaxy flux to that observed within the limiting surface brightness μlim vs. the central surface brightness μ0.

Other Images in This Article

Show More

Copyright and Terms & Conditions