Image Details

Choose export citation format:

Intermittent Features of the Quasar Lyα Transmitted Flux: Results from Cosmological Hydrodynamic Simulations

  • Authors: Long-Long Feng, Jesus Pando, and Li-Zhi Fang

Feng, Pando, & Fang 2003 The Astrophysical Journal 587 487.

  • Provider: AAS Journals

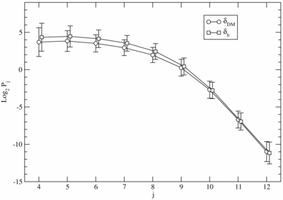
Caption: Fig. 3.

Power spectra of IGM mass field ﹩\delta _{b}﹩ (squares) and dark matter ﹩\delta _{\mathrm{DM}\,}﹩ (circles) from the hydrodynamic simulation in the 12 Mpc box. The mean and variance are calculated from the 100 realizations. The physical scale for j is ﹩\Delta v=2^{13-j}\times 4﹩ km s−1. For clarity, the power spectrum of the IGM is shifted slightly.

Other Images in This Article

Show More

Copyright and Terms & Conditions