Image Details

Choose export citation format:

Nonlinear Stochastic Biasing of Galaxies and Dark Halos in Cosmological Hydrodynamic Simulations

  • Authors: Kohji Yoshikawa, Atsushi Taruya, Y. P. Jing, and Yasushi Suto

Yoshikawa et al. 2001 The Astrophysical Journal 558 520.

  • Provider: AAS Journals

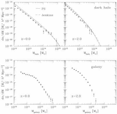
Caption: Fig. 6.

Mass functions of dark halos and galaxies at redshifts ﹩z=0﹩ and 2. Solid lines: Theoretical predictions of Press‐Schechter mass function. Dashed lines: Fitting formula by Jenkins et al. (2001).

Other Images in This Article

Show More

Copyright and Terms & Conditions