Image Details

Choose export citation format:

Spectroscopic Detection of Pulsations in the Candidate δ Scuti Star V845 Mon

  • Authors: Akhila Divakaran, Maria Jose Rain, Henri M. J. Boffin, Simona Di Stefano, Elyar Sedaghati

Akhila Divakaran et al 2026 Research Notes of the AAS 10 .

  • Provider: AAS Journals

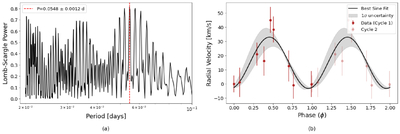
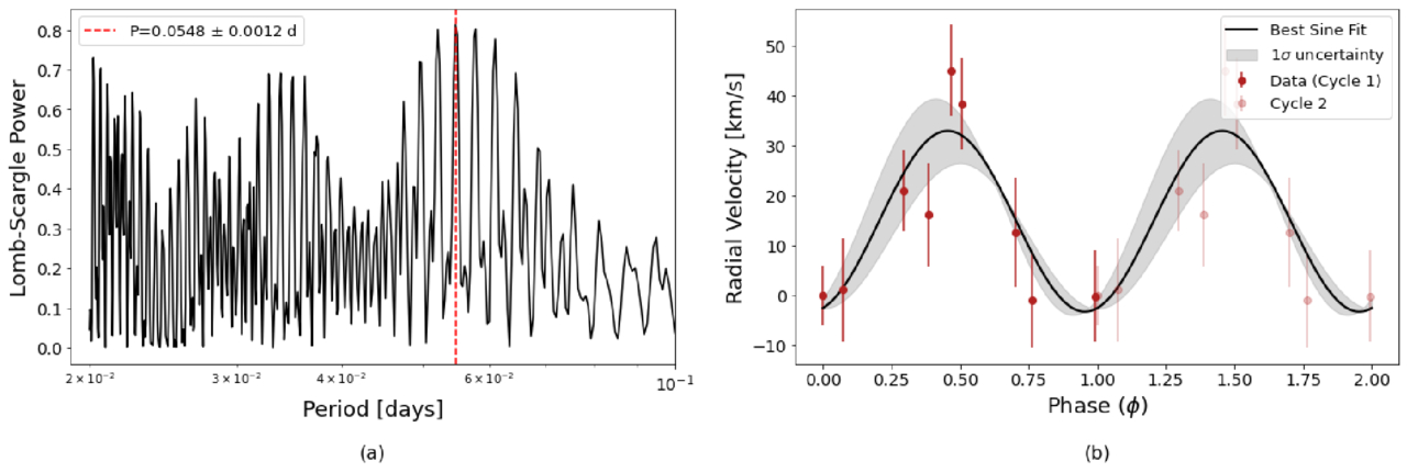
Caption: Figure 1.

(a) Weighted Lomb–Scargle periodogram of the radial velocity measurements, showing a peak at P = 0.0548 day, marked by a red dashed line. (b) Phase-folded radial velocity curve using the derived period. The solid black line represents the best-fitting sinusoidal model, and the gray shaded region indicates the 1σ uncertainty of the fit. Error bars correspond to the estimated radial velocity uncertainties.

Copyright and Terms & Conditions

Additional terms of reuse