Image Details

Choose export citation format:

RAAN-dependent Magnetic Connectivity of Jovian Electrons from Mars Orbit

  • Authors: Thanayuth Panyalert, Peerapong Torteeka, Shariff Manuthasna, Kanatip Anuchit, Tanawish Masri, Yaowarat Pittayang, Pradiphat Muangha, Paparin Jamlongkul, Pakorn Khonsri, Popefa Charoenvicha, Ratchanonth Plumanut, Natthapong Treesakul, Wutthiphat Hantrakul

Thanayuth Panyalert et al 2026 Research Notes of the AAS 10 .

  • Provider: AAS Journals

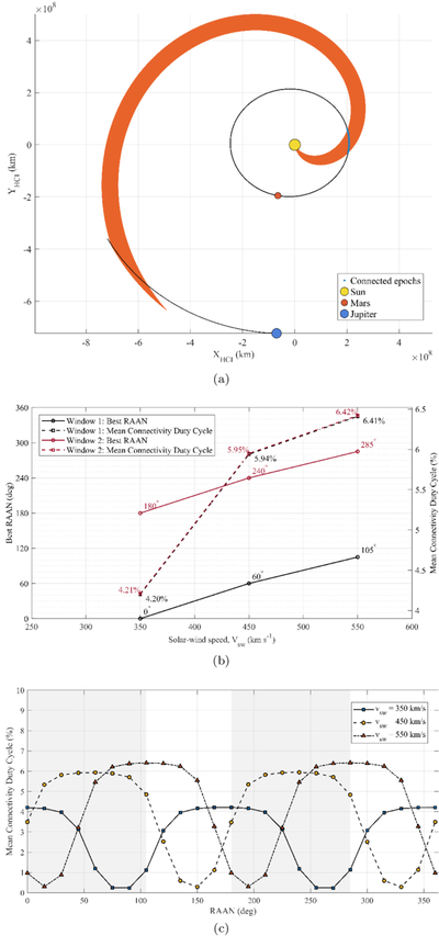
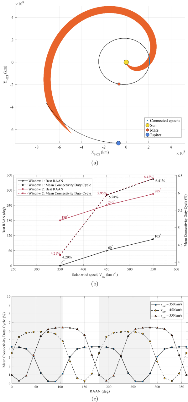
Caption: Figure 1.

Magnetic connectivity between a Mars orbiter and Jupiter under Parker-spiral IMF geometry. (a) Example heliocentric configuration showing the Parker spiral connecting Jupiter to a highly elliptical Mars orbit, with connected epochs indicated along the spacecraft trajectory. (b) Mean per-orbit connectivity duty cycle as a function of the RAAN for three solar-wind speeds (350, 450, and 550 km s−1). Two symmetric connectivity windows separated by approximately 180° are observed. (c) Dependence of the optimal RAAN and peak connectivity duty cycle on solar-wind speed, illustrating the systematic shift and broadening of connectivity windows as the Parker-spiral geometry varies.

Copyright and Terms & Conditions

Additional terms of reuse