Image Details

Choose export citation format:

Role of Natron in Delaying the Retreat of Buried Ice Tables on Ceres

  • Authors: Margaret E. Landis, Thomas H. Prettyman, Julie Castillo-Rogez, Naoyuki Yamashita

Margaret E. Landis et al 2025 The Planetary Science Journal 6 .

  • Provider: AAS Journals

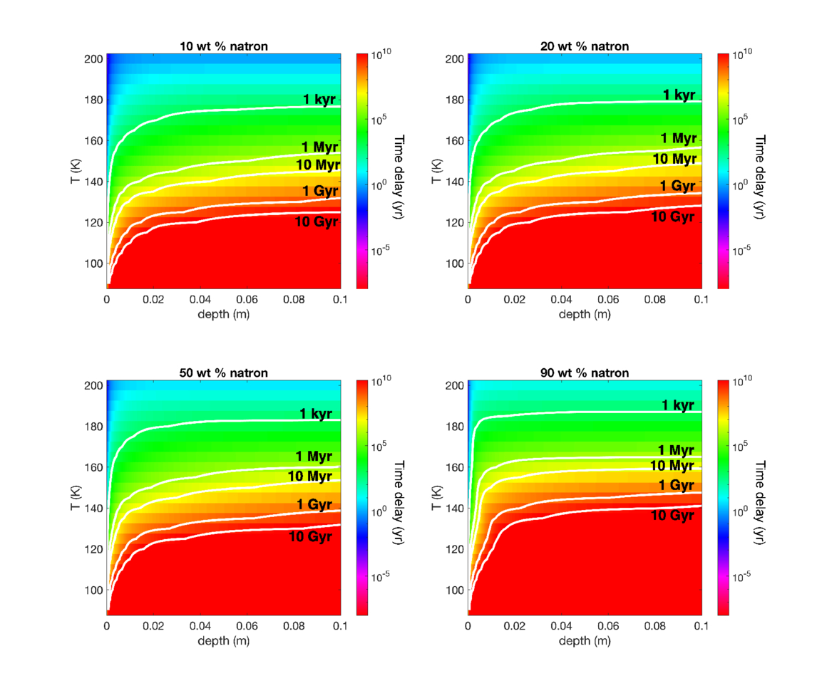
Caption: Figure 4.

Different weight percents of natron in the regolith in the salty ice-table system affects the retreat rate calculated in 5 K temperature intervals to different depths. The time delay spans several orders of magnitude, from 1 yr (top contour), all the way through to 10 Gyr (bottom contour). At the lowest temperatures, for the highest salt contents, the salt could extend the lifetime of the ice table in the near surface to almost that of the universe.

Other Images in This Article
Copyright and Terms & Conditions

Additional terms of reuse