Image Details

Choose export citation format:

Heliocentric Effects of the DART Mission on the (65803) Didymos Binary Asteroid System

  • Authors: Rahil Makadia, Sabina D. Raducan, Eugene G. Fahnestock, Siegfried Eggl

Rahil Makadia et al 2022 The Planetary Science Journal 3 .

  • Provider: AAS Journals

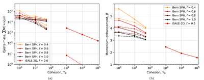
Caption: Figure 1.

(a) Total ejecta mass from DART-like impacts into asteroid surfaces with varying cohesion, Y 0, and coefficient of internal friction, f, and fixed porosity (ϕ 0 = 40%) from Bern SPH (Raducan & Jutzi 2022) and iSALE-2D (Raducan et al. 2019) simulations. The continuous lines show the total amount of ejecta mass that is ejected with velocities higher than the escape velocity of the Didymos system, whereas the dotted lines show the total amount of ejecta mass with velocities lower than the escape velocity of the Didymos system. (b) Momentum enhancement from DART-like impacts into asteroid surfaces with varying cohesion, Y 0, and coefficient of internal friction, f, and fixed porosity (ϕ 0 = 40%) from Bern SPH (Raducan & Jutzi 2022) and iSALE-2D (Raducan et al. 2019) simulations. The solid lines show the total momentum enhancement generated by the impact. The dotted lines show the heliocentric momentum enhancement (i.e., the total momentum of the ejecta that leaves the Didymos system).

Other Images in This Article
Copyright and Terms & Conditions

Additional terms of reuse