Image Details

Choose export citation format:

The Hubble Arp Galaxy Survey

  • Authors: Julianne J. Dalcanton, Meredith J. Durbin, Benjamin F. Williams

Julianne J. Dalcanton et al 2026 The Astrophysical Journal Supplement Series 283 .

  • Provider: AAS Journals

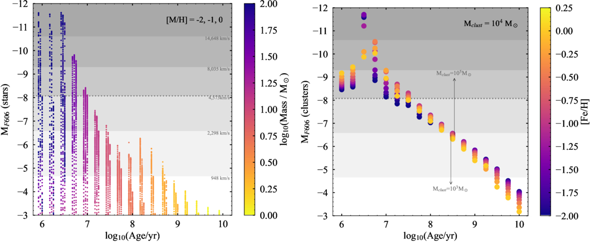
Caption: Figure 8.

The absolute F606W magnitudes of stellar (left) and star clusters (right), as a function of their age and metallicity, from the Parsec isochrone sets (A. Bressan et al. 2012), assuming a Kroupa IMF. The stellar magnitudes are shown for three metallicities ([Fe/H] = −2, −1, and 0), plotted from left to right at each individual age, and color coded by their initial stellar mass. The cluster magnitudes are shown for a default initial cluster mass of 104 M, but can be brighter or fainter at a given age and metallicity for different masses (shown as light gray arrows), with more dispersion expected at low masses due to incomplete sampling of rare massive stars. The gray regions show the absolute magnitudes that can be reached for systems at different distances in the sample. They are drawn assuming pure Hubble flow distances (i.e., D = Vr/H0 with H0 = 70 km s−1 Mpc−1), for values of Vr that correspond to 5%, 25%, 50%, 75%, and 95% of the sample, with the median (i.e., 50%) marked with a dotted line.

Other Images in This Article

Show More

Copyright and Terms & Conditions

Additional terms of reuse