Image Details

Choose export citation format:

A Parametric Model to Reproduce the Background of the Insight-HXMT/HE Blind Detector

  • Authors: Yuan You, Jin-Yuan Liao, Shuang-Nan Zhang, Shu Zhang, Xue-Feng Lu, Juan Zhang, Gang Li, Zhi Chang, Yu-Peng Chen, Ming-Yu Ge, Cheng-Cheng Guo, Rui Huang, Yue Huang, Jing Jin, Xiao-Bo Li, Xu-Fang Li, Zheng-Wei Li, Cong-Zhan Liu, Fang-Jun Lu, Jian-Yin Nie, Li-Ming Song, Si-Fan Wang, Yi-Fei Zhang, Hai-Sheng Zhao

Yuan You et al 2021 The Astrophysical Journal Supplement Series 256 .

  • Provider: AAS Journals

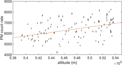
Caption: Figure 7.

The PM count rate increases with the satellite altitude in the SAA. The PM count rate is shown at longitude 349°–351° and latitude from −28° to −26° as an example, where the SAA has the largest PM count rate. The red line is the result of the linear fitting with a slope 0.085 ± 0.03.

Other Images in This Article

Show More

Copyright and Terms & Conditions

Additional terms of reuse