Image Details

Choose export citation format:

POWDERDAY: Dust Radiative Transfer for Galaxy Simulations

  • Authors: Desika Narayanan, Matthew J. Turk, Thomas Robitaille, Ashley J. Kelly, B. Connor McClellan, Ray S Sharma, Prerak Garg, Matthew Abruzzo, Ena Choi, Charlie Conroy, Benjamin D. Johnson, Benjamin Kimock, Qi Li, Christopher C. Lovell, Sidney Lower, George C. Privon, Jonathan Roberts, Snigdaa Sethuram, Gregory F. Snyder, Robert Thompson, and John H. Wise

2021 The Astrophysical Journal Supplement Series 252 12.

  • Provider: AAS Journals

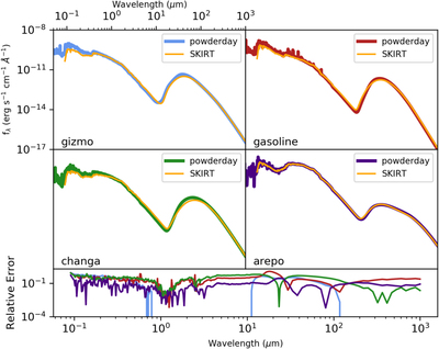
Caption: Figure 7.

Model comparison between POWDERDAY and SKIRT for GIZMO, GASOLINE, CHANGA, and AREPO simulations. The SKIRT run is orange in each panel, and the POWDERDAY run varies in color from model to model (it is this color that denotes which model is which in the bottom panel that shows the relative error). While there are differences in the inherent stellar SED models, as well as the grid construction, the high level of agreement between the output of the two simulation codes is striking.

Other Images in This Article

Show More

Copyright and Terms & Conditions