Image Details

Choose export citation format:

A Unified Dark-matter-driven Relativistic Bondi Route to Black Hole Growth from Stellar to Supermassive Scales

  • Authors: Chian-Shu Chen, Feng-Li Lin

Chian-Shu Chen and Feng-Li Lin 2026 The Astrophysical Journal Letters 1001 .

  • Provider: AAS Journals

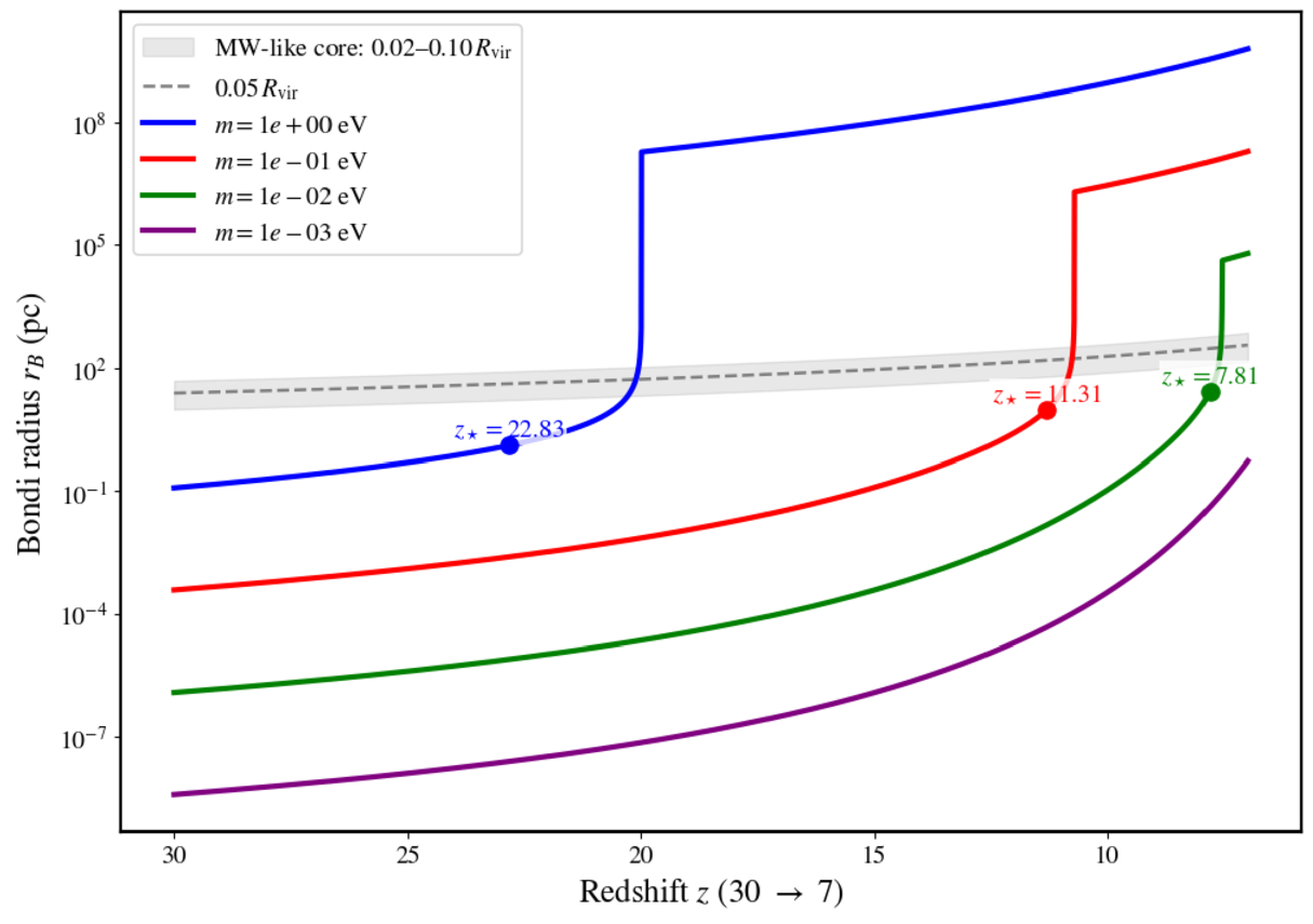
Caption: Figure 2.

Counterpart evolution of the Bondi radius rB(z) of Figure 1, assuming the average-halo density of Equation (12). The y-axis is in parsecs (logarithmic), while the x-axis is linear in redshift from z = 30 (left) to z = 7. This demonstrates how the Bondi radius expands across cosmic epochs, eventually approaching or crossing the Milky Way–like inner-halo scale (﹩{r}_{{\rm{core}}}\approx 0.05{R}_{{\rm{vir}}}﹩, represented by the gray dashed line and shaded band). This enables efficient SIDM feeding in the late growth phase to form SMBHs with masses ≥109M if the crossing occurs at z  >  7.

Other Images in This Article
Copyright and Terms & Conditions

Additional terms of reuse