Image Details

Choose export citation format:

Negative Superhumps in Cataclysmic Variables Driven by Retrograde Apsidal Disk Precession

  • Authors: David Vallet, Rebecca G. Martin, Stephen H. Lubow, Stephen Lepp

David Vallet et al 2026 The Astrophysical Journal Letters 1000 .

  • Provider: AAS Journals

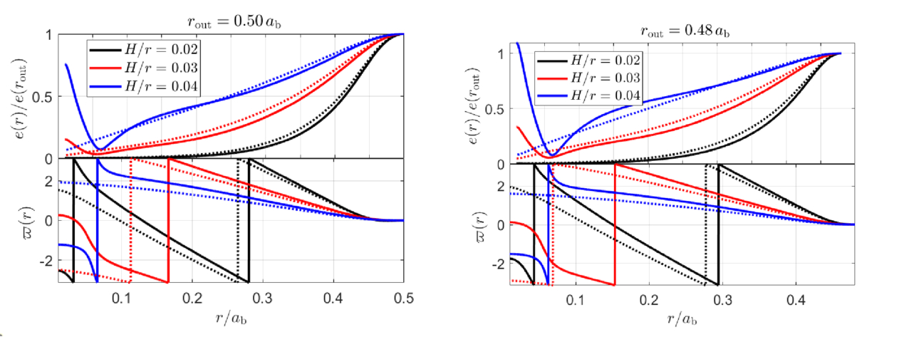
Caption: Figure 1.

The eccentricity (upper panels) and periapse angle (lower panels) versus radius of the disk for three different values of H/r and q = 0.1. The outer disk truncation radius is rout = 0.5 ab (left) and rout = 0.48 ab (right). The dotted lines show the solution to the 2D equations, and the solid lines show the solution to the 3D equations.

Other Images in This Article
Copyright and Terms & Conditions

Additional terms of reuse