Image Details

Choose export citation format:

Erratum: “Looking at Infrared Background Radiation Anisotropies with Spitzer: Large-scale Anisotropies and Their Implications” (2025, ApJL, 980, L12)

  • Authors: A. Kashlinsky, Richard G. Arendt, M. L. N. Ashby, J. Kruk, N. Odegard

A. Kashlinsky et al 2025 The Astrophysical Journal Letters 995 .

  • Provider: AAS Journals

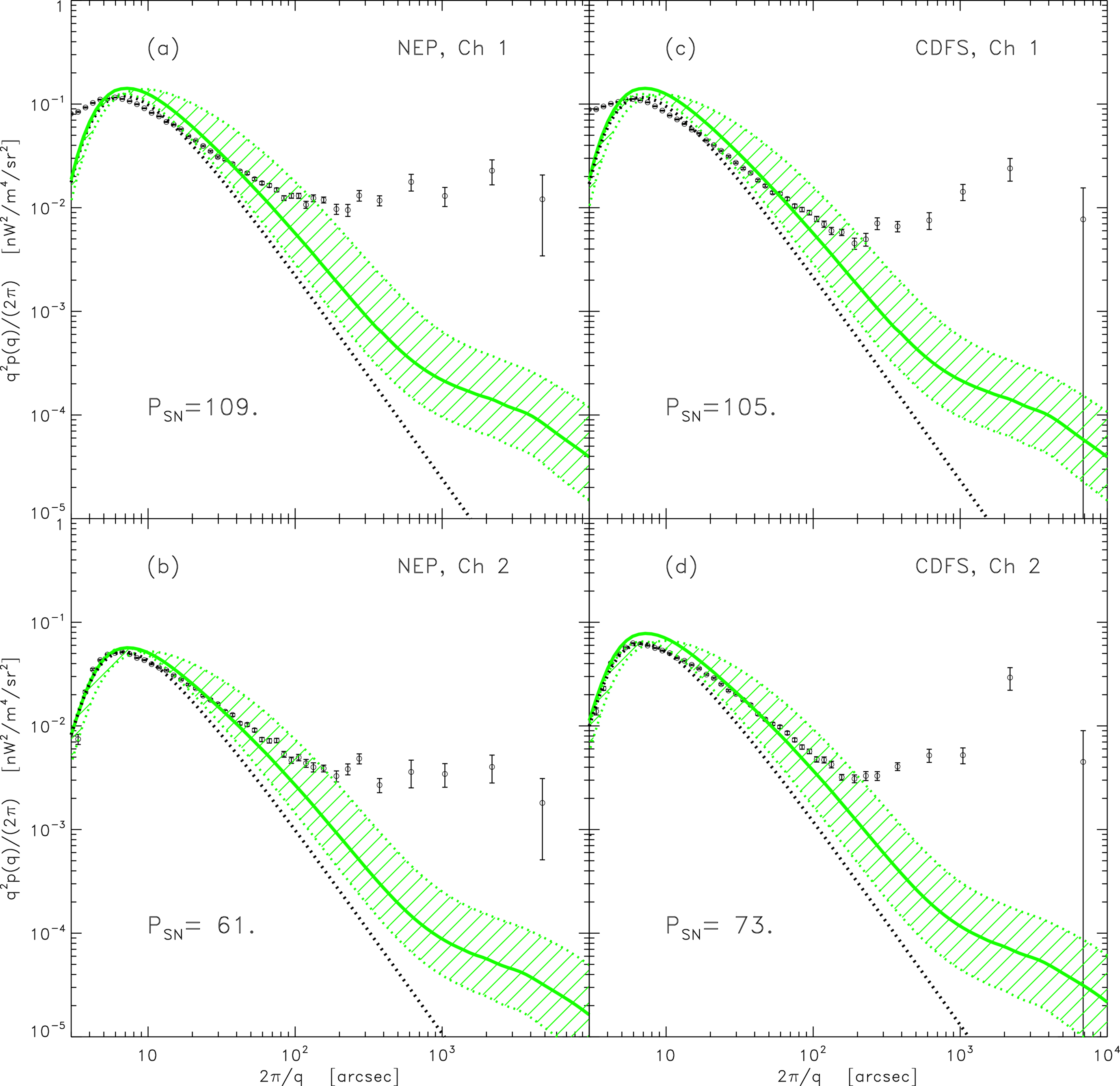
Caption: Figure 2.

Revised Fig. 2. The notation follows the caption in the published Letter.

Other Images in This Article
Copyright and Terms & Conditions

Additional terms of reuse