Image Details

Choose export citation format:

Stellar Obliquities of Young Systems, Atmospheres Undergoing Contraction and Escape (SOYSAUCE): A Likely Aligned Orbit for the 3 Myr Planet TIDYE-1 b

  • Authors: Madyson G. Barber, Andrew W. Mann, Marshall C. Johnson, Mayuko Mori, John Livingston, Daniel M. Krolikowski, Norio Narita, Akihiko Fukui, Teruyuki Hirano, Andrew Vanderburg, Adam L. Kraus, Benjamin M. Tofflemire, Sydney Vach, Sarah Blunt, Lissa Haskell

Madyson G. Barber et al 2025 The Astrophysical Journal Letters 994 .

  • Provider: AAS Journals

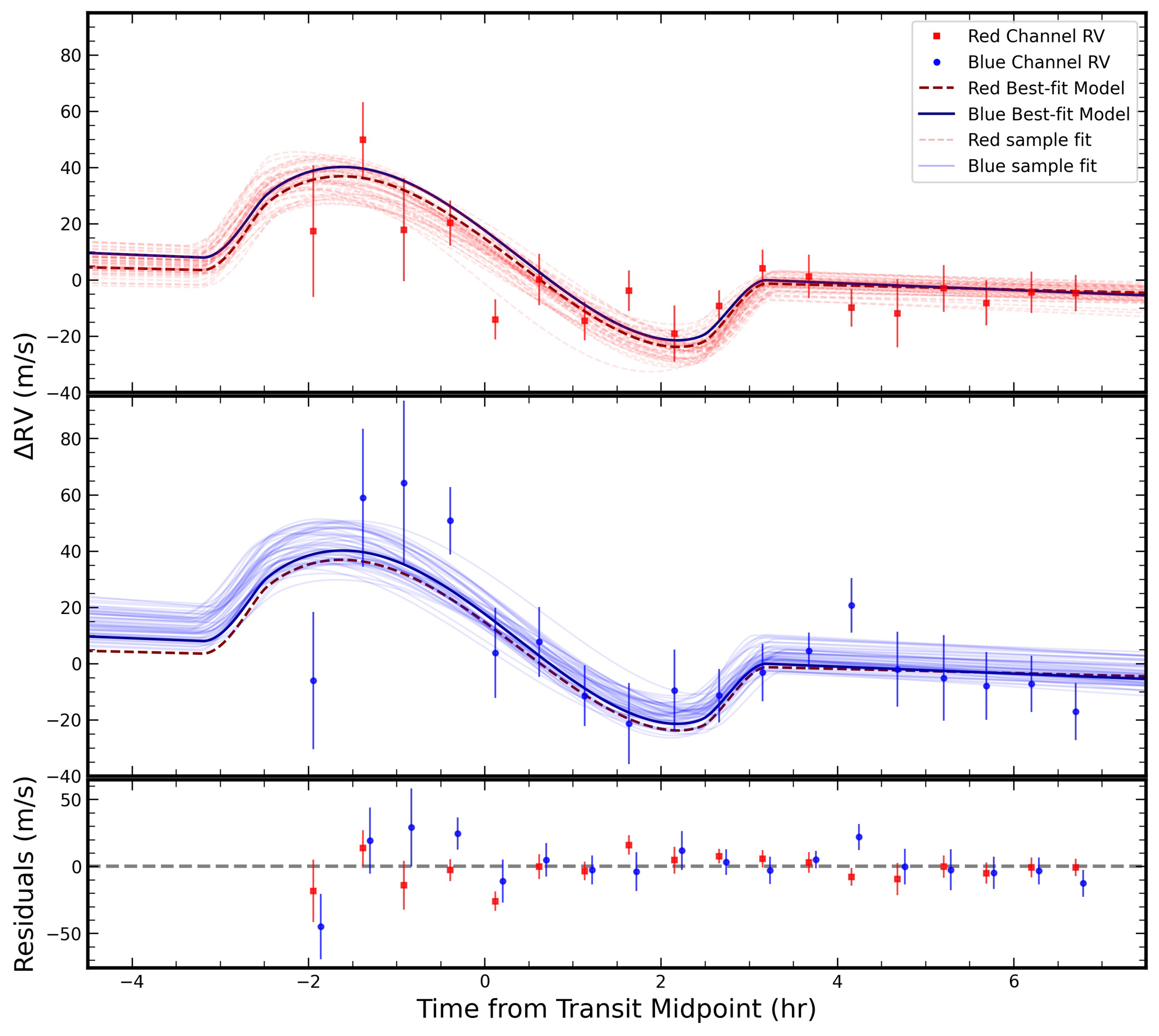
Caption: Figure 2.

MAROON-X relative radial velocities from the red (red squares; top) and blue (blue circles; middle) channels. The best-fit RM and stellar RV trend models for each channel are shown as the opaque dotted red and solid blue lines, with 50 random sample fits pulled from the posterior shown as the translucent dotted red and solid blue lines. The bottom plot shows the residuals compared to the best-fit model for each channel, with a 5 minute shift applied to the blue channel RVs for clarity. The red and blue channel fits agree with one another, with the blue RV trend line showing a slightly steeper slope, as expected.

Other Images in This Article
Copyright and Terms & Conditions

Additional terms of reuse