Image Details

Choose export citation format:

Fast Radio Bursts: Electromagnetic Counterparts to Extreme Mass-ratio Inspirals

  • Authors: Rui-Nan Li, Zhen-Yin Zhao, Zhifu Gao, Fa-Yin Wang

Rui-Nan Li et al 2023 The Astrophysical Journal Letters 956 .

  • Provider: AAS Journals

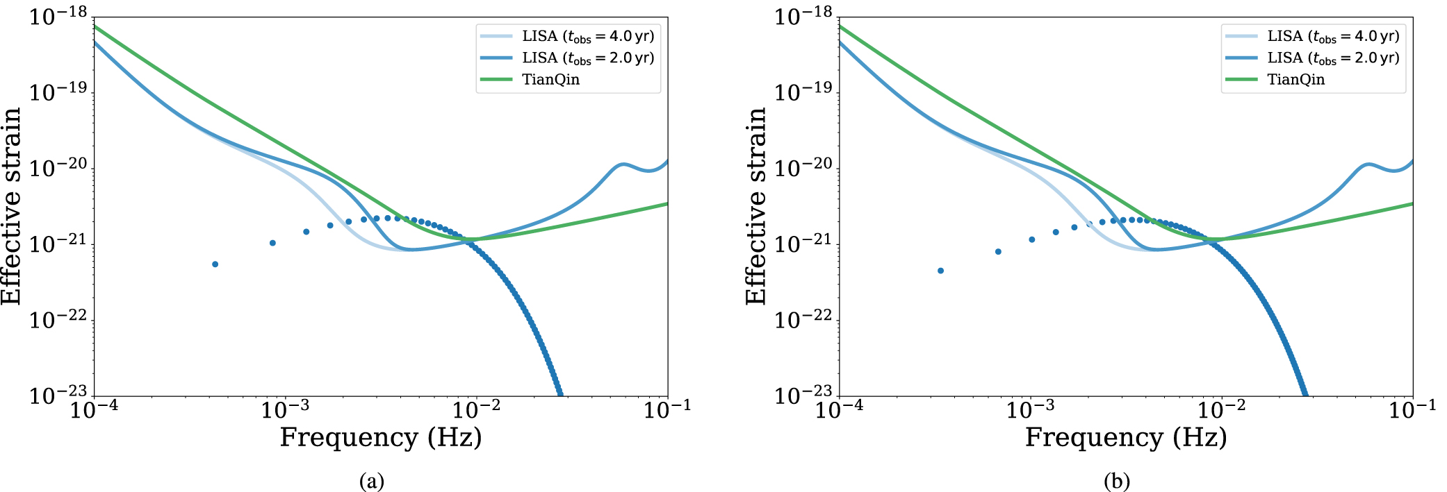
Caption: Figure 3.

The effective GW strain of EMRI events (dots) and the sensitivity curves ﹩\sqrt{{{fS}}_{n}(f)}﹩ of LISA and Tianqin (solid lines). Two mission times for LISA are considered (Wagg et al. 2022a, 2022b). Panels (a) and (b) correspond to cases 1 and 2 in Table 2, respectively.

Other Images in This Article
Copyright and Terms & Conditions

Additional terms of reuse