Image Details

Choose export citation format:

TOI-4600 b and c: Two Long-period Giant Planets Orbiting an Early K Dwarf

  • Authors: Ismael Mireles, Diana Dragomir, Hugh P. Osborn, Katharine Hesse, Karen A. Collins, Steven Villanueva, Allyson Bieryla, David R. Ciardi, Keivan G. Stassun, Mallory Harris, Jack J. Lissauer, Richard P. Schwarz, Gregor Srdoc, Khalid Barkaoui, Arno Riffeser, Kim K. McLeod, Joshua Pepper, Nolan Grieves, Vera Maria Passegger, Solène Ulmer-Moll, Joseph E. Rodriguez, Dax L. Feliz, Samuel Quinn, Andrew W. Boyle, Michael Fausnaugh, Michelle Kunimoto, Pamela Rowden, Andrew Vanderburg, Bill Wohler, Jon M. Jenkins, David W. Latham, George R. Ricker, Sara Seager, Joshua N. Winn

Ismael Mireles et al 2023 The Astrophysical Journal Letters 954 .

  • Provider: AAS Journals

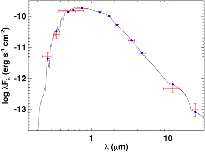
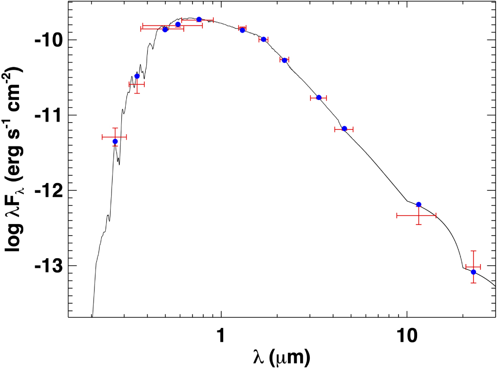
Caption: Figure 4.

SED of TOI-4600. Red symbols represent the observed photometric measurements, where the horizontal bars represent the effective width of the passband. Blue symbols are the model fluxes from the best-fit Kurucz atmosphere model (black).

Other Images in This Article
Copyright and Terms & Conditions

Additional terms of reuse