Image Details

Choose export citation format:

Turbulence and Waves in the Sub-Alfvénic Solar Wind Observed by the Parker Solar Probe during Encounter 10

  • Authors: L.-L. Zhao, G. P. Zank, L. Adhikari, D. Telloni, M. Stevens, J. C. Kasper, S. D. Bale, N. E. Raouafi

L.-L. Zhao et al 2022 The Astrophysical Journal Letters 934 .

  • Provider: AAS Journals

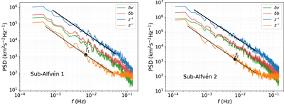
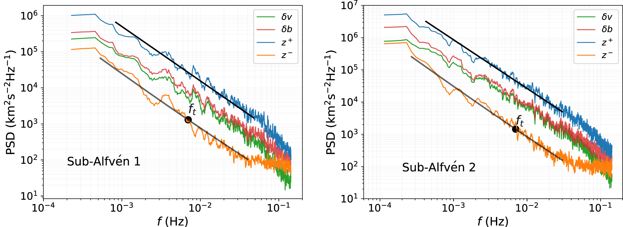
Caption: Figure 3.

Power spectral density (PSD) of the Elsässer variables z ±, velocity fluctuations δ v , and magnetic fluctuations in Alfvén units δ b . The left and right panels correspond to the first and second sub-Alfvénic interval observed in E10, respectively. The black lines in each panel represent the theoretical spectra predicted by the NI MHD turbulence model, and f t denotes the transition frequency at which the z spectrum flattens in the inertial range.

Other Images in This Article
Copyright and Terms & Conditions

Additional terms of reuse