Image Details

Choose export citation format:

Nonlinear Alfvén Wave Model of Stellar Coronae and Winds from the Sun to M Dwarfs

  • Authors: Takahito Sakaue, and Kazunari Shibata

2021 The Astrophysical Journal Letters 906 L13.

  • Provider: AAS Journals

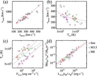
Caption: Figure 4.

Characteristics of stellar atmospheres and winds obtained from the numerical parameter survey. The symbols represent the simulation results. The parameter survey for each star is carried out for the velocity amplitude on the photosphere (within (0.04–0.6) × adiabatic sound speeds on the photosphere) and the chromospheric magnetic field strength (within (0.002–0.05) × photospheric magnetic field strengths). The solid lines correspond to the prediction curves of our semi-empirical method. Panel (a): stellar wind velocity (vwind) vs. the maximum amplitude of the Alfvén wave in the stellar wind (﹩{v}_{\phi \max }﹩). Panel (b): ﹩{v}_{\phi \max }﹩ vs. the coronal temperature (Tco). Panel (c): Tco vs. the transmitted Poynting flux into the corona (FA,co). Panel (d): Alfvén wave luminosity in the corona (LA,co) vs. stellar wind’s mass-loss rate (﹩\dot{M}﹩).

Other Images in This Article
Copyright and Terms & Conditions