Image Details

Choose export citation format:

Three-dimensional Geometry of the Electron-scale Magnetic Hole in the Solar Wind

  • Authors: G. Q. Wang, M. Volwerk, S. D. Xiao, M. Y. Wu, Y. F. Hao, L. J. Liu, G. Wang, Y. Q. Chen, and T. L. Zhang

2020 The Astrophysical Journal Letters 904 L11.

  • Provider: AAS Journals

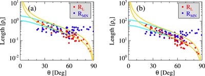
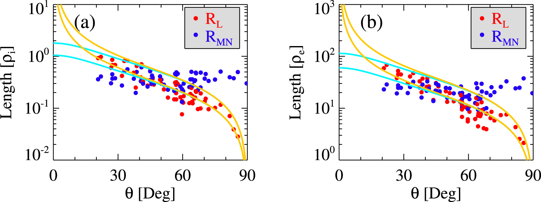
Caption: Figure 4.

Distribution of the observational lengths in the L direction (RL, red circle) and the MN plane (RMN, blue circle) with respect to θ, the angle between the L direction and the trajectory of the spacecraft. The units of the y axes are the ion (a) and electron (b) gyroradii. The cyan (orange) curves indicate the relation between RL and θ determined by an assumption of an elliptical (uniform) geometry in the plane including the axis of the magnetic hole.

Other Images in This Article
Copyright and Terms & Conditions