Image Details

Choose export citation format:

Tearing Instability and Periodic Density Perturbations in the Slow Solar Wind

  • Authors: Victor Réville, Marco Velli, Alexis P. Rouillard, Benoit Lavraud, Anna Tenerani, Chen Shi, and Antoine Strugarek

2020 The Astrophysical Journal Letters 895 L20.

  • Provider: AAS Journals

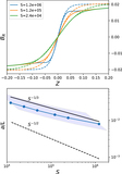
Caption: Figure 4.

Top panel: fastest growing mode km as a function of the Lundquist number S. The asymptotic regime km ∝ S1/6 is shown by the black dashed line. The corresponding growth rate, normalized by tA = L/vA, is shown in the bottom panel.

Other Images in This Article
Copyright and Terms & Conditions