Image Details

Choose export citation format:

The Pitch-angle Distributions of Suprathermal Ions near an Interplanetary Shock

  • Authors: Liu Yang, Lars Berger, Robert F. Wimmer-Schweingruber, Linghua Wang, Jia Yu, Antoinette B. Galvin, and Eberhard Möbius

2020 The Astrophysical Journal Letters 888 L22.

  • Provider: AAS Journals

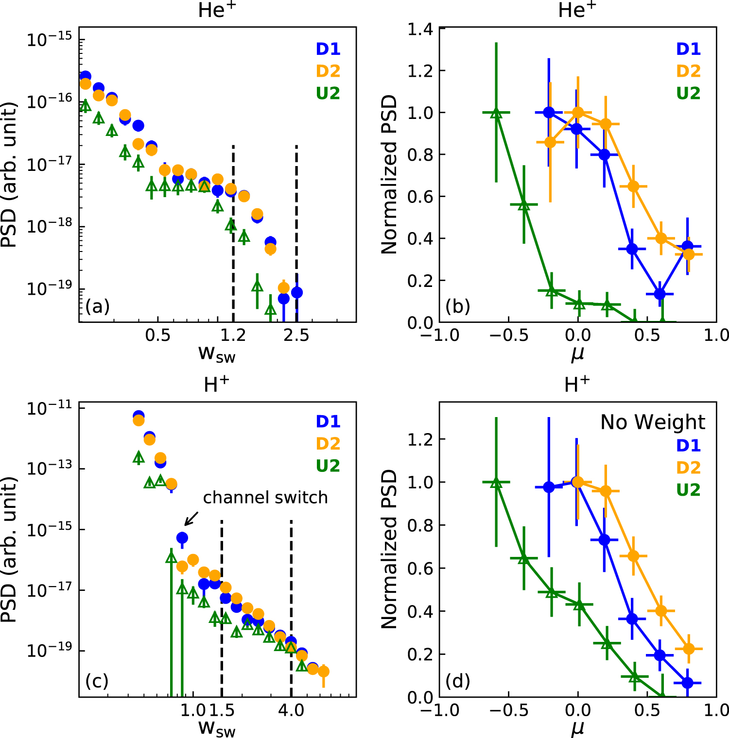
Caption: Figure 4.

(a)–(b) Average velocity distribution functions and normalized PADs (normalized to the maximum among all PA bins) of He+ observed by the SWS during “D1,” “D2,” and “U2” indicated in Figure 2; (c)–(d) same as (a)–(b), but for H+. The PADs are averaged over wsw ∼  1.2–2.5 (dashed lines in (a)) for He+ and wsw ∼ 1.5–4 (dashed lines in (c)) for H+. The selected range of wsw ∼ 1.5–4 in (c) is far above the velocity of the small channel switch. The PSDs in (d) are obtained without applying the base rate weight. The estimated statistical errors are shown in each panel.

Other Images in This Article
Copyright and Terms & Conditions