Image Details

Choose export citation format:

A Wind-based Unification Model for NGC 5548: Spectral Holidays, Nondisk Emission, and Implications for Changing-look Quasars

  • Authors: M. Dehghanian, G. J. Ferland, B. M. Peterson, G. A. Kriss, K. T. Korista, M. Chatzikos, F. Guzmán, N. Arav, G. De Rosa, M. R. Goad, M. Mehdipour, and P. A. M. van Hoof

2019 The Astrophysical Journal Letters 882 L30.

  • Provider: AAS Journals

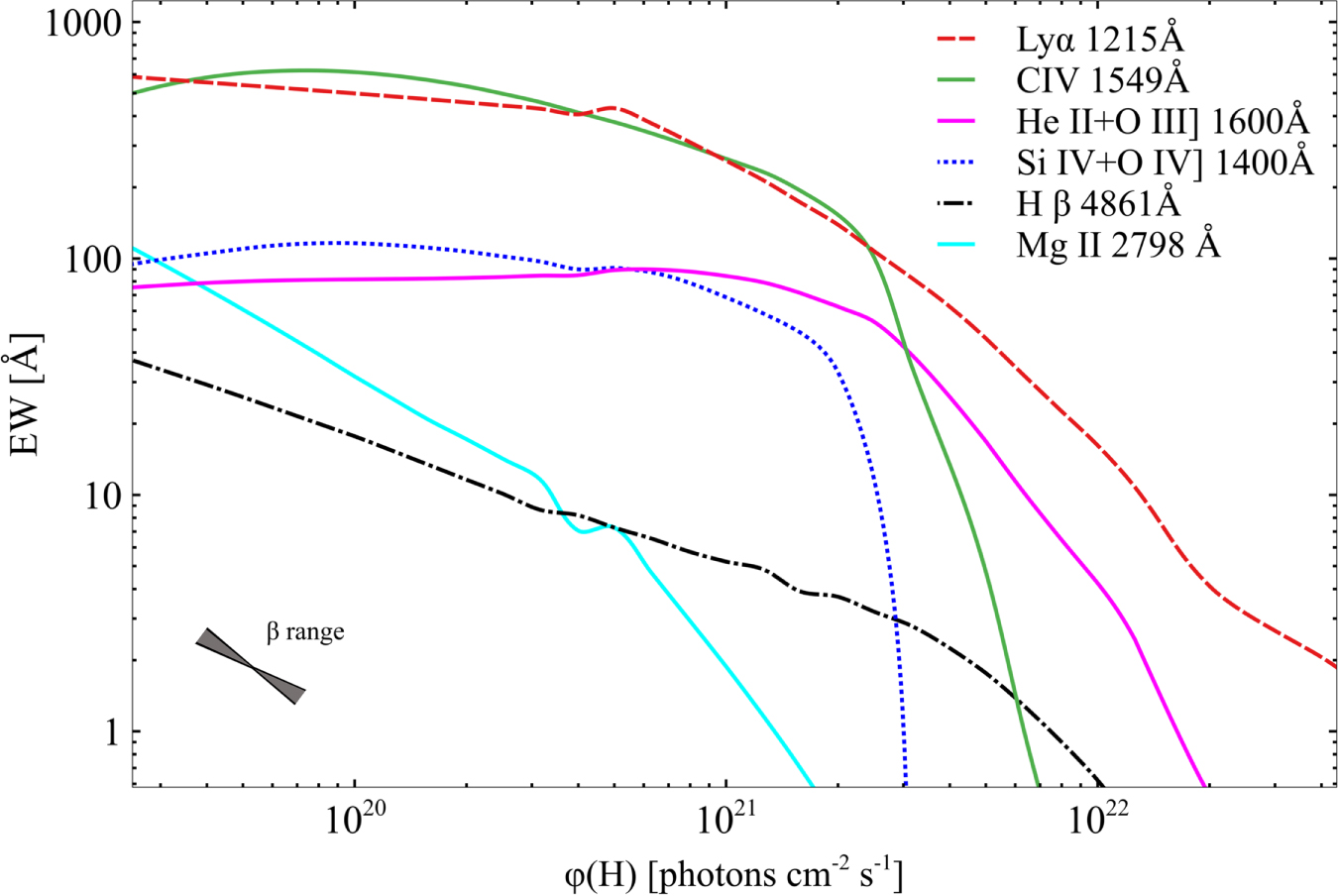
Caption: Figure 2.

EW of emission lines vs. the flux of hydrogen-ionizing photons. The EWs are normalized to the continuum at 1367 Å. For most of the lines, the predicted EWs decrease when ϕ(H) > 1020, the observed behavior. The bow tie shows the range of β observed for various lines before the holiday.

Other Images in This Article
Copyright and Terms & Conditions