Image Details

Choose export citation format:

On the Diversity of Fallback Rates from Tidal Disruption Events with Accurate Stellar Structure

  • Authors: E. C. A. Golightly, C. J. Nixon, and E. R. Coughlin

2019 The Astrophysical Journal Letters 882 L26.

  • Provider: AAS Journals

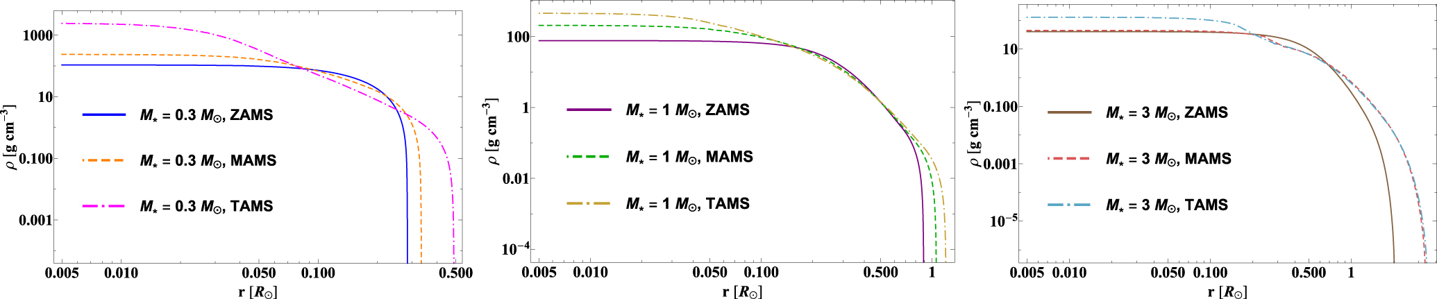
Caption: Figure 1.

Stellar density profiles computed with MESA in g cm−3 as a function of radius in Solar radii. The left panel shows the 0.3 M star, the middle the 1 M star, and the right the 3 M star, with the different ages shown by the different lines as indicated in the legends.

Other Images in This Article
Copyright and Terms & Conditions