Image Details

Choose export citation format:

On the Origin of Black Hole Spin in High-mass X-Ray Binaries

  • Authors: Ying Qin, Pablo Marchant, Tassos Fragos, Georges Meynet, and Vicky Kalogera

2019 The Astrophysical Journal Letters 870 L18.

  • Provider: AAS Journals

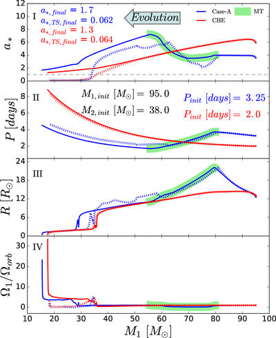
Caption: Figure 1.

Spin parameter a* (I), orbital period (II), primary’s radius (III), and rotational frequency ratio of primary to the orbit (IV) as a function of primary mass for two binary evolutionary sequences starting with same initial masses of two components but different initial orbital periods. The sequence with the longer initial period (Pinit = 3.25 days; blue line) evolves via the Case-A MT, while the one with the shorter initial period (Pinit = 2.0 days; red line) evolves via the CHE. Green shading represents the MT phase for the Case-A MT channel. The gray dashed line in the top panel indicates the theoretical maximum spin (i.e., a* = 1) of a BH and the arrow represents the direction of the evolution along the time. In both cases, assuming direct collapse, the BH progenitor star has enough AM to form a maximally spinning BH when it reaches core carbon depletion. For comparison, the dotted lines represent the same sequences but with an efficient AM transport mechanism.

Other Images in This Article
Copyright and Terms & Conditions