Image Details

Choose export citation format:

Most Lensed Quasars at z > 6 are Missed by Current Surveys

  • Authors: Fabio Pacucci, and Abraham Loeb

2019 The Astrophysical Journal Letters 870 L12.

  • Provider: AAS Journals

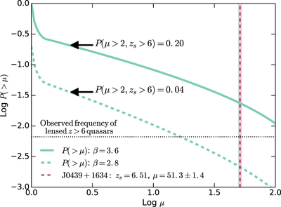
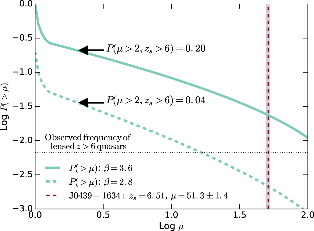
Caption: Figure 1.

The probability distribution function P(>μ, zs = 6.51) is shown for β = 2.8 and β = 3.6, and for magnification values between μ = 1 and 100. The dashed vertical line indicates the magnification factor for the lensed quasar reported by Fan et al. (2018), with the 1σ uncertainty level shown as a shaded region. Note that P(μ > 50) = Pobs for β ≈ 3.2.

Other Images in This Article
Copyright and Terms & Conditions