Image Details

Choose export citation format:

Nonlinear Firehose Relaxation and Constant-B Field Fluctuations

  • Authors: Anna Tenerani, and Marco Velli

2018 The Astrophysical Journal Letters 867 L26.

  • Provider: AAS Journals

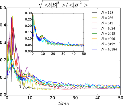
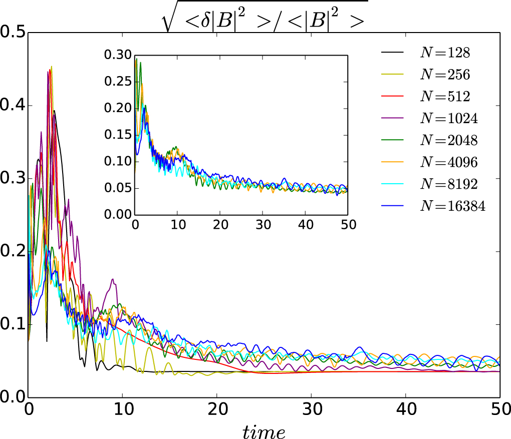
Caption: Figure 1.

Nonlinear relaxation of an Alfvénic fluctuation (θ0 = 0). Normalized rms amplitude vs. time for each simulation; high-resolution simulations are shown in the inset plot.

Other Images in This Article
Copyright and Terms & Conditions