Image Details

Choose export citation format:

The Binary Neutron Star Event LIGO/Virgo GW170817 160 Days after Merger: Synchrotron Emission across the Electromagnetic Spectrum

  • Authors: R. Margutti, K. D. Alexander, X. Xie, L. Sironi, B. D. Metzger, A. Kathirgamaraju, W. Fong, P. K. Blanchard, E. Berger, A. MacFadyen, D. Giannios, C. Guidorzi, A. Hajela, R. Chornock, P. S. Cowperthwaite, T. Eftekhari, M. Nicholl, V. A. Villar, P. K. G. Williams, and J. Zrake

2018 The Astrophysical Journal Letters 856 L18.

  • Provider: AAS Journals

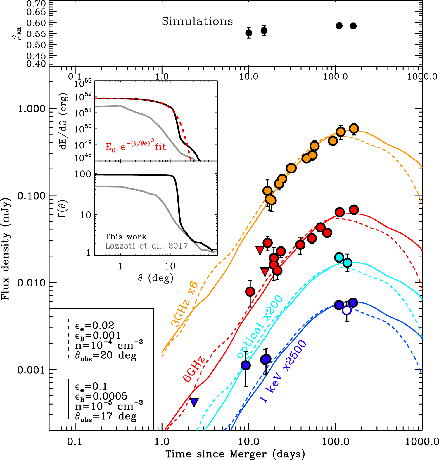
Caption: Figure 4.

Results from our simulation of a successful off-axis relativistic jet with structure Γ(θ) and Eiso(θ) displayed in the insets, propagating into a low-density environment with n ∼ 10−5–10−4 cm−3 and viewed ∼20° off-axis. We use p = 2.16 and the microphysical parameters reported in the figure. These two representative models can adequately reproduce the current set of observations and predict an optically thin synchrotron spectrum at all times, in agreement with our observations (upper panel). The open blue circle is the XMM X-ray measurement from D’Avanzo et al. (2018). Insets: Eiso(θ) and average Γ(θ) from our simulations (black solid lines) at t = 100 s, compared to the jet structure from Lazzati et al. (2017c; gray lines). The jet in our simulation has quasi-Gaussian structure, with ﹩{E}_{\mathrm{iso}}\propto {e}^{-{(\theta /{\theta }_{c})}^{\alpha }}﹩ and α ∼ 1.9, θc ∼ 9° (red dashed line). Future observations will be able to constrain the jet-environment parameters.

Other Images in This Article
Copyright and Terms & Conditions